日前,三亿体育_三亿(中国)一站式服务官方网站材料科学与工程学院金属先进凝固成形及装备技术国家地方联合工程研究中心团队在稀土钽酸盐RE3TaO7陶瓷关键力-热学性质调控机制方面取得重要进展,相关研究成果以Dominant mechanisms of thermo-mechanical properties of weberite-type RE3TaO7 (RE=La, Pr, Nd, Eu, Gd, Dy) tantalates toward multifunctional thermal/environmental barrier coating applications为题,发表在国际顶级学术期刊Acta Materialia上。三亿体育_三亿(中国)一站式服务官方网站为第一作者单位和通讯单位,材料学院陈琳博士为第一作者。

RE3TaO7陶瓷晶体结构特点
航空发动机和燃气轮机在工作时温度会不断提高,对燃烧室内高温部件提出了更高的性能要求。热障/环境障涂层作为高温合金零件表面的最外层,通常只具备隔热降温和抗冲击的作用,已经无法满足相关装备的新需求,科研人员提出了新型热障/环境障涂层应该具有隔热降温、抗低熔点氧化物腐蚀、强阻氧和优异力学性质的要求。针对氧化锆基材料隔热降温梯度不足和抗腐蚀性能差等问题,三亿体育_三亿(中国)一站式服务官方网站材料学院团队以稀土钽酸盐RE3TaO7陶瓷为研究主体,对其关键力-热学性质进行解析,从RE-O和Ta-O的化学键类型、相对比离子性和晶体结构特点出发,阐明了热导率、热膨胀系数、杨氏模量和氧离子电导率的关键影响因子,为开发新型耐高温、高隔热、强阻氧、低应力的热障/环境障涂层材料奠定了基础。

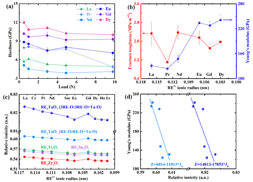
RE3TaO7陶瓷力学性质演变规律及其调控机制
本成果的主要研究结论包括以下三点:(1) RE3TaO7陶瓷中化学键结合强度与相对离子性成反比,RE-O键的相对离子性随着稀土离子半径的减小不断增大,导致杨氏模量和硬度逐渐增大;不同裂纹扩展模式的存在能够减缓应力集中有效提高断裂韧性,其最高值达2.4 MPa·m1/2;(2) 通过声子热导率与温度的关系有效预测RE3TaO7陶瓷的高温热导率,RE-O键的结合强度相对较弱,其通过减缓声子传播速度的方式降低热导率,获得远低于氧化锆基和稀土硅酸盐等材料的热导率;(3) [TaO6]多面体的稳定结构使得RE3TaO7陶瓷具有优异的高温稳定性,工作温度可到1800 K以上;在晶格中a、b、c三个轴的热膨胀各向异性主要受到RE-O键非简谐性振动的影响,并随着温度的升高热膨胀各向异性不断减小,这有利于减小涂层内应力。

RE3TaO7陶瓷关键热学性质演变规律及其调控机制
论文链接:https://doi.org/10.1016/j.actamat.2024.119857
(供稿:材料学院)